Обучающиеся факультета компьютерных наук регулярно принимают участие и занимают почётные места во Всероссийском конкурсе на лучшую научную работу студентов образовательных организаций высшего образования, реализующих образовательные программы в области информационной безопасности.
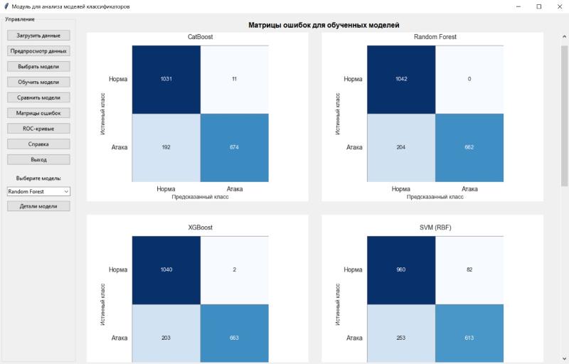
На конкурсе НИРС ИБ‑2025 призового места удостоена работа магистрантки первого года обучения Арины Дьяковой на тему «Анализ поведенческих характеристик пользователя при работе с данными в информационной системе для обеспечения защиты информации». Арина разработала программный модуль для оценки качества алгоритмов обнаружения аномального поведения пользователей в информационных системах. Программа позволяет выбирать наилучшие алгоритмические решения на этапе проектирования систем мониторинга, облегчая процесс разработки. Отметим, что конкурс проводится в рамках реализации федерального проекта «Информационная безопасность» национальной программы «Цифровая экономика Российской Федерации».
Поздравляем Арину Дьякову и желаем ей новых идей и значимых открытий в области информационной безопасности. Пусть этот успех станет прочной основой для будущих достижений и вдохновит других обучающихся на активные исследования и профессиональный рост!
Информация ФКН



